有機元素分析における残留溶媒解析プログラムの開発
津江 広人, 津江 直子
Return
1 序論
有機元素分析[1]は,有機化合物に含まれる元素の組成情報を知るための有用な分析手段であり,測定試料が純粋であるならば,分析値と理論値は誤差±0.3%以内で一致する。換言すれば,この誤差範囲を満足することが,純粋な試料であることの証明であり,このことは,元素分析の結果を論文に記載する際の条件にもなっている。試料中に灰分や再結晶溶媒などの不純物が含まれている場合,当然のことながら正しい分析値は得られない。そのため,測定試料としては,再結晶や蒸留などによって充分に精製し,乾燥させたものが用いられる。しかしながら,ホスト分子などの一部の化合物においては,元素分析以外の測定法によって純粋であると判断された試料を用いたとしても,再結晶溶媒の包接などによって,理論値と大きく異なる分析結果が得られることがある。このような場合,純粋か否かを再度確認するとともに精製方法を再検討し,改めて元素分析用の試料を調製する必要に迫られる。しかし,その一方で,精製方法が再結晶である場合,その際に使用した溶媒は予め把握できているため,その影響を加味して理論値を計算すると,分析値と合致して,目的とする化合物が得られていることを確認できることがある。ここで,残留溶媒が単一の成分であれば,その計算は比較的容易であり,そのための解析プログラムも既に開発されている[2]。しかしながら,実験室における実際の再結晶操作は,単一の溶媒で行うことはむしろ少なく,二種類以上の溶媒を混合し溶解度を調節して行う手法が一般的である。その上,いかに精製された溶媒を用いたとしても,特殊な場合を除いて溶媒には必ず水分子が含まれている。現実に沿った形で元素分析結果を解析するためには,複数の残留溶媒による影響を同時に考慮する必要があるものの,我々の調べた限りでは,このような解析プログラムは未だに報告されていない。そこで今回,我々は,前述した実際の実験操作を考慮し,水分子を含め三成分の残留溶媒を同時に解析できれば大部分の測定試料に対応できるものと考え,同機能を備えたプログラムを開発したので,計算方法の概要と併せ以下報告する。
2 方法
2. 1 開発・動作環境
開発にはMacintosh互換機であるUmax製Pulsar 2000VRを使用し,開発言語としてはREAL Software製REALbasicバージョン1.1[3]を用いた。動作確認には,左記ハードウェアならびにApple製Power Macintosh 9600/300およびPowerBook 180の計三機種を使用し,Mac OS 8.5.1と漢字Talk 7.1の両オペレーティングシステム下で,本プログラムが正常に動作することを確認した。漢字Talk 7.1以降のシステムを搭載したMacintoshシリーズおよびその互換機であれば,本プログラムを使用可能と思われる。
2. 2 計算方法
本プログラムにおいては,目的化合物および残留溶媒の組成式,ならびに元素分析の結果を用いて,試料中に残留する溶媒の量を解析する。そのため,本解析において考慮の対象となるのは,実際に分析結果が得られる元素のみである。そこで,目的化合物および三種類の残留溶媒における元素組成をTable 1のように定義し(解析に必要なもののみ),また試料中に存在する各成分の比率を,それぞれx0,x1,x2,およびx3とする。なお,実際のプログラムにおける溶媒3は,水分子としてのみ機能するよう設計されているものの,計算方法の説明のため,Table 1では溶媒1や溶媒2と同様に表記してある。
Table 1. Definition of elemental composition in a compound and solvents
| C | H | N | F | Cl | Br | I | S |
| compound | a0 | b0 | c0 | d0 | e0 | f0 | g0 | h0 |
| solvent 1 | a1 | b1 | c1 | d1 | e1 | f1 | g1 | h1 |
| solvent 2 | a2 | b2 | c2 | d2 | e2 | f2 | g2 | h2 |
| solvent 3 | a3 | b3 | c3 | d3 | e3 | f3 | g3 | h3 |
ここで,有機元素分析においては,異なる種類のハロゲン原子が含まれていても,これらは区別されず合計値として分析結果が得られるため,このことを考慮すると,元素分析の結果は,

と表すことができる。ここで,右辺の分母MWは,目的化合物および各残留溶媒の分子量にその存在比率を乗算したものの総和であり,またAWCやAWHなどは,添え字に示した元素の原子量である。式1を行列式2へと変換すると,

のように表すことができる。式1は各元素の重量%の比を示しているため,式2の右辺には,任意の値kが乗算されている。ここで,行列Aは,第一列目から順番に目的化合物,溶媒1,溶媒2,および溶媒3に対応しており,その各要素は,それぞれの構成元素数にその原子量を乗算したものとなっている。なお,式2の右辺は,列ベクトルCにkおよびMWを乗算したものであるが,これらはスカラー量と見なすことができるため,実際のプログラムにおいてはk × MW = 1として計算を行った。この行列式2を解けば,その解として目的化合物と各残留溶媒の存在比を示す列ベクトルBが得られるものの,行列Aは正方行列ではないため,一意に解を求めることができない。そこで,行列Aの転置行列tAを式2の両辺に乗算して,

とすることにより正規方程式へと変換し,次いで連立一次方程式の解法として知られるGaussの消去法[4]を適用して,行列式の解を求めた。なお,計算機特有の桁落ちによる丸め誤差の影響を可能な限り小さくするため,Gauss法を適用する際には,行と列の両方に対して交換操作を行う完全ピボッティング[5]を行った。
残留溶媒を解析するための数学的解法は上述の通りであるが,溶媒として二種類あるいは一種類のみを考慮する場合もあり,また得られた元素分析値がC%とH%のみといった五種類未満の場合もある。このような場合,本プログラムでは,行列Aから必要な行と列のみを抽出し,また列ベクトルBとCについても同様に処理して,必要最小限の新たな行列式を構築し,これを用いて計算を実行することにより,計算時間の短縮を図っている。また,序論に述べたように,元素分析の結果には測定誤差が含まれているため,本プログラムでは,指定された誤差範囲内で列ベクトルCの各分析値を変化させて,測定誤差内に含まれる全ての値を網羅するようにした。そのため,得られる解は一つではなく,複数のものとなるが,解の正当性の判断は,その際の実験条件に大きく左右されるため,本プログラムでは,算出された全ての解を表示することにより,実験者自身が自由に判断できるようにした。なお,これらの解は単に数学的に求められるため,負の解が得られる場合もあるが,このようなものについては科学的に誤りとして無視し,全てが正のものについてのみ,各元素の重量%を逆算するとともに実測の分析値との照合を行い,さらに指定した誤差範囲内に収まるものを,正しく得られた解とした。
2. 3 プログラムの使用方法
今回開発したプログラムには,データ入力,結果表示,および初期設定のための三つの画面があり,それぞれの説明,ならびに上述の計算方法には含まれていない具体的事項を補足しながら本プログラムの使用方法を以下に述べる。
 Figure 1.
|  Figure 2.
|
-
データの入力
Figure 1に示したFormulaの箇所に目的化合物の分子式,また得られた各元素分析値をE.A. Resultの相応する箇所に入力する。両者が入力された時点で,Calculateボタンが使用可能となる。次いで,残留溶媒をSolventおよびCo-solventのポップアップメニューより選択し,更に水分子の影響について考慮する場合にはWaterの箇所をチェックする。また,必要に応じてExperimental err%に誤差範囲を指定する(初期値は0.3)。
-
計算の実行
必要なデータを入力しCalculateボタンをクリックすると,計算が開始され,その進行状況はプログレスバーで確認することができる。本プログラムでは,指定した誤差範囲内において0.1刻みで分析値を変化させるため,総計算回数は,(Experimental err% × 20 + 1)を底,入力した分析結果の個数を指数とする,べき乗回となり,例えば,Experimental err%が0.3で,分析結果としてC%とH%とX%の三つを入力した場合には,343回の計算を行うこととなる。なお,コマンドキー(
)とピリオドを同時に押せば,計算を途中で中止させることも可能である。計算完了後,解が得られていればResultボタン が使用可能となり,無ければ「解無し」のダイアログが表示される。なお,初期値では1001個以上の解が得られた場合には,計算は自動的に中断される。このような場合には,前述したExperimental err%に,より小さな値を設定する。
-
計算結果の表示
Resultボタンをクリックすると,新たな画面が現れ(Figure 2を参照),正しく得られた全ての解が表示される。なお,これらの解は,実測値との誤差の合計が小さい順に整列されており,目的化合物を1として,試料中に含まれる残留溶媒および水分子の存在比率が表示される。それぞれの解をクリックすると,得られた解を元に逆算した各元素の重量%ならびに実測値との誤差を確認することができる。ここで,To clipboardをクリックすると,アメリカ化学会あるいは王立化学会の論文投稿規定に準拠した形式で,現在選択されている解をクリップボードにコピーすることが可能である。いずれの形式を使用するかは,EditメニューのPreferenceにおいて設定を行う。
次ページのFigure 3に示したPreferenceウィンドウには,解析を行う上での初期値がまとめられており,上から順番に,解の最大個数,各元素の原子量,および得られた解をコピーする際の形式を設定する。原子量の初期値としては,日本化学会原子量小委員会の原子量表 (1997)に記載されている値を使用しているものの,各元素をダブルクリックすれば,自由に変更することができる。なお,initialボタンをクリックすれば,全ての設定を初期の状態に戻すことが可能である。
 Figure 3.
| 
|
3 結果と考察
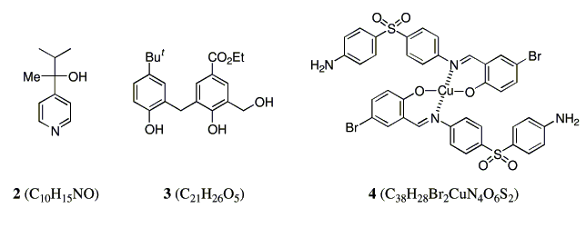
本プログラムを用いて,理論値と分析値が一致しない実際の試料について解析を行った。ここで対象とした化合物は,分子構造が可能な限り多岐に渡るよう,低分子量のものから金属錯体に至るまでの計四種類のものを選択した[6 - 9]。
まず,本ページ右上に示したカリックスアレーン 1 は,クロロホルム−ヘキサンより再結晶して得られた無色粉末固体であり[6],理論値としてC, 78.91; H, 8.15%の組成をもつ。しかしながら,核磁気共鳴スペクトル(400 MHz)において純粋と判断された試料を,充分に乾燥させてから分析したにもかかわらず,C, 71.09 (-7.82); H, 7.53 (-0.62); Cl, 10.16% (+10.16)という元素分析値が得られ,理論値とは大きく異なる結果であった。この分析結果において特徴的なことは,化合物 1 には元来含まれていない塩素原子が有意な値で観測されたことであり,そこで,本プログラムを用いて,誤差範囲を±0.3%と指定して,まずクロロホルムのみの影響について解析を行った。その結果,79個の解が得られ(Table 2),また算出された含有比から,測定試料中には化合物 1 とほぼ同当量のクロロホルムが含まれていることが分かった。次いで,クロロホルムと水分子の混在,ならびにクロロホルムとヘキサンの混在の可能性についても同様に解析を行ったところ,それぞれ25個と98個の解が得られ,試料中にこれらの残留溶媒が混在している可能性が示唆された。その一方で,考えられ得る全ての溶媒(クロロホルム,ヘキサン,水)の混在については解が全く得られず,このような可能性はあり得ないことが明確に示された。これらの解析結果について更なる議論を行うためには,X線結晶構造解析などの別法を併用する必要があるものの,本プログラムを用いることによって,測定試料中に目的化合物が含まれていることを簡便かつ論理的に確認することができた。
また,次ページに示した化合物 2--4 についても同様に解析を行ったところ,何れの分析結果についても,残留溶媒の有無ならびに複数の残留溶媒の混在の可能性を容易に解析することが可能であった(Table 2)。なお,2.2節で述べた通り,本解析においては,指定した誤差範囲を満足する複数の解が算出されるものの,各文献に記載された化合物と残留溶媒の存在比は,何れの化合物についても,これらの解の中に含まれていることが確認された。ここで,銅(II)錯体 4 については,残留溶媒としてN,N-ジメチルホルムアミドのみが含まれる可能性の他にも,水分子とジメチルホルムアミドが混在している可能性が示されたが,同化合物についてはX線結晶構造解析が報告されており[9],その解析データと照合した結果,後者の可能性は除外されることが明らかとなった。すなわち,複数の可能性がある場合,何れが適切なのかを本プログラム単独で断定することは困難であるものの,測定試料中に目的化合物が含まれているか否かについては,簡便に判定可能であることが分かった。

Table 2. Microanalytical data (difference between theoretical and observed values) and recrystallization solvents for compounds 1--4, and the results of calculation
| compd no. | microanalytical data (difference) | recrystallization solvent | result of calculation |
| solvent composition | number of answere |
| 1a | C, 71.09 (-7.82); H, 7.53 (-0.62); Cl, 10.16% (+10.16) | CHCl3-Hexane | CHCl3-Hexane-H2O | 0 |
| CHCl3-Hexane | 98 |
| CHCl3-H2O | 25 |
| Hexane-H2O | 0 |
| CHCl3 | 79 |
| Hexane | 0 |
| H2O | 0 |
| 2b | C, 71.59 (-1.10); H, 9.08 (-0.07); N, 8.30% (-0.18) | H2O | H2O | 49 |
| 3c | C, 69.12 (-1.25); H, 7.20 (-0.11); Cl, 1.42% (+1.42) | CHCl3-Hexane | CHCl3-Hexane-H2O | 0 |
| CHCl3-Hexane | 14 |
| CHCl3-H2O | 40 |
| Hexane-H2O | 0 |
| CHCl3 | 165 |
| Hexane | 0 |
| H2O | 0 |
| 4d | C, 49.37 (-0.02); H, 3.95 (+0.09); N, 7.85 (+1.79); S, 5.99% (-0.95) | DMF | DMF-H2O | 224 |
| DMF | >1000 |
| H2O | 0 |
a Reference [6]. b Ref. [7]. c Ref. [8]. d Ref. [9]. e Experimental err% was set to be 0.3%.
4 結論
有機元素分析の試料に含まれる,最大三種類の残留溶媒を一度に解析することのできるプログラムを開発した。本解析法における残留溶媒の数は,原理的には開発時に許される配列の最大数まで拡張可能であるものの,実験室における実際の精製操作を考慮すると,水分子を含め三成分を解析できれば,大部分の測定試料に対応できるものと考えられる。試料中に溶媒が残留するという現象は,新たな知見を見出す糸口となる可能性があり,複数の残留溶媒を同時に解析できる本プログラムは,このような目的のためにも有用なツールになり得るものと思われる。
本稿作成にあたり,英文要約についての御助言を山口富子氏より頂いた。記して感謝の意を表する。
参考文献
[ 1] 日本分析化学会編, 分析化学便覧 , 改訂四版, 丸善 (1991), p.319.
[ 2] 例えば,小谷孝之氏の開発したシェアウェアEA ToolやKOHTA氏の開発したシェアウェアEAsearch-SBなど。なお,これらのプログラムは,株式会社ベクターのホームページ(http://www.vector.co.jp/)より入手可能である。
[ 3] A. Barry, J. Faber, D. Law, J. Parsley, and G. Perlman, REALbasic, REAL Software, Inc., Austin, Texas, USA (1997).
[ 4] 奥村孝彦, C言語による最新アルゴリズム事典, 技術評論社 (1991), p.354.
[ 5] 佐藤次男, 中村理一郎, 伊藤 惇, Cによる理工学問題の解法, 日刊工業新聞社 (1994), p.111.
[ 6] H. Tsue, M. Ohmori, and K. Hirao, J. Org. Chem., 63, 4866 (1998).
[ 7] A. C. Smith and D. H. Macartney, J. Org. Chem., 63, 9243 (1998).
[ 8] H. Tsue, K. Enyo, and K. Hirao, unpublished work.
[ 9] N. Yoshida, N. Ito, and K. Ichikawa, J. Chem. Soc., Perkin Trans. 2, 1997, 2387.
Return